대기 중 오염물질의 확산과 이동
1. 대기 중 오염물질 확산의 개념
대기오염물질은 배출된 후 바람, 기온, 대기 안정도 등의 환경 요인에 따라 확산되거나 이동한다. 확산이 잘 이루어지지 않으면 특정 지역에서 오염이 심화되며, 대기 안정도가 높으면 오염물질이 정체되기도 한다.
2. 대기 안정도와 기온 역전
(1) 대기 안정도
대기의 안정성은 오염물질의 확산에 큰 영향을 미친다.
- 불안정한 대기: 오염물질이 수직으로 쉽게 확산됨 → 공기 정체가 적음
- 안정한 대기: 오염물질이 지면 가까이 머물러 축적됨 → 공기 오염 심화
(2) 기온 역전(Temperature Inversion)
기온 역전이란 일반적으로 고도가 높아질수록 기온이 낮아지는 현상과 반대로, 특정 조건에서 고도가 높아질수록 기온이 상승하는 현상을 의미한다.
- 복사역전: 밤에 지표면이 냉각되면서 형성됨 (런던형 스모그 발생)
- 침강역전: 고기압 지역에서 대기가 하강하면서 형성됨 (LA형 스모그 발생)
- 이류역전: 따뜻한 공기가 차가운 지표면 위를 지나가면서 발생
3. 대기 중 오염물질 이동을 결정하는 힘
대기 중 오염물질의 이동은 여러 물리적 힘의 영향을 받는다.
- 기압경도력: 기압 차이에 의해 공기가 이동함
- 전향력(코리올리 힘): 지구의 자전으로 인해 바람이 휘어짐
- 마찰력: 지면과의 마찰로 인해 지표 부근 바람 속도가 감소
- 부력: 따뜻한 공기는 상승하고 차가운 공기는 하강하여 대류현상 발생
4. 바람과 오염물질 확산
(1) 바람의 유형
- 지균풍: 지상 1km 이상에서 마찰력 없이 일정하게 부는 바람
- 지상풍: 지표면의 영향을 받아 불규칙한 방향으로 부는 바람
(2) 국지풍(Local Wind)
- 해륙풍: 낮에는 바다에서 육지로, 밤에는 육지에서 바다로 부는 바람
- 산곡풍: 낮에는 계곡에서 산으로, 밤에는 산에서 계곡으로 부는 바람
- 휀풍: 산을 넘어 내려오면서 온도가 상승하는 바람
5. 오염물질 확산 모델
(1) 가우시안 확산 모델
오염물질이 바람을 따라 이동하면서 좌우 및 상하로 확산되는 것을 설명하는 모델이다.
- 특징: 점배출원(굴뚝)에서 나오는 오염물 확산 예측에 유용함
- 공식:

(2) 연기 확산 형태
연기의 확산 형태는 대기 안정도와 바람 속도에 따라 달라진다.
- 환상형(Looping): 불안정한 대기에서 연기가 크게 출렁이는 형태
- 부채형(Fanning): 강한 안정 상태에서 연기가 수평으로 퍼짐
- 원추형(Coning): 중립적 대기 상태에서 이상적인 확산 형태
- 지붕형(Lofting): 연기가 위쪽으로만 확산됨 (하층 기온 역전)
- 훈증형(Fumigation): 연기가 아래쪽으로만 확산됨 (오염 심각)
- 구속형(Trapping): 연기가 상하로 이동하지 못하고 갇힘
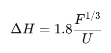
6. 굴뚝의 유효 높이
굴뚝에서 배출된 연기가 어느 높이까지 도달하는지를 결정하는 요소는 풍속, 연기의 속도, 배출가스 온도 등에 따라 달라진다.
- 연기 상승 공식(Smith 식):

'기사 > 대기환경기사' 카테고리의 다른 글
| 광화학 반응과 대기오염 (3) | 2025.03.08 |
|---|---|
| 가스상 오염물질의 특징과 반응 (1) | 2025.03.07 |
| 입자상 오염물질의 특징과 거동 (2) | 2025.03.06 |
| 대기오염물질의 종류와 특성 (1) | 2025.03.04 |
| 대기오염 개론 (2) | 2025.03.03 |